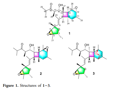
从构巢裸孢壳的次级代谢产物中发现三个具有双环[4.2.0]辛烯和3,6-二氧杂环[3.1.0]正己烷功能团高度甲基化的聚酮类新骨架化合物,EmerionesA−C(1-3)。其中,化合物EmerionesC中的过氧桥使其成为7,8-二氧杂环的癸烯骨架,为首次报道。此外,EmerionesA对脂多糖诱导的RAW264.7细胞有一定的抑制NO产生的作用。该研究对聚酮类化合物结构、生物活性方面的研究以及开发相关药物奠定了基础。


原文:Qin Li, Chunmei Chen, Yan He, Danyingzi Guan, Li Cheng, Xincai Hao, et al. EmerionesA−C: Three Highly Methylated Polyketides with Bicyclo[4.2.0] octene and3,6-Dioxabicyclo[3.1.0] hexane Functionalities from Emericella nidulans[J].Organic Letters, 2019, 21, 5091-5095 (郝新才)
原文链接:https://pubmed.ncbi.nlm.nih.gov/31247789/?from_single_result=EmerionesA%E2%88%92C%3A+Three+Highly+Methylated+Polyketides+with+Bicyclo%5B4.2.0%5D+octene+and3%2C6-Dioxabicyclo%5B3.1.0%5D+hexane+Functionalities+from+Emericella+nidulans